Τελευταία Νέα
Χρηματιστήριο

Αυτές είναι οι φθηνότερες μετοχές του χρηματιστηρίου με βάση τα κέρδη α΄ εξαμήνου 2021

Αυτές είναι οι φθηνότερες μετοχές του χρηματιστηρίου με βάση τα κέρδη α΄ εξαμήνου 2021

Πολλές εισηγμένες θέτουν υποψηφιότητα για ελκυστικό δείκτη p/e με βάση τα κέρδη πρώτου εξαμήνου και τις εκτιμήσεις για το δεύτερο

Σχετικά Άρθρα
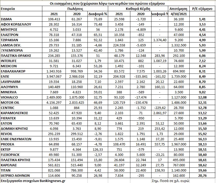
Η κατάταξη των εισηγμένων του ΧΑ εταιρειών βάσει κερδοφορίας πρώτου εξαμήνου 2021, αναδεικνύει τα καλά αποτελέσματα που εμφάνισαν αρκετές εταιρείες.

Μάλιστα πολλές είναι αυτές που βάζουν υποψηφιότητα για μονοψήφιο p/e στο τέλος της χρήσης 2021.
Αξίζει να σημειωθεί πως αρκετές είναι οι εταιρείες που διαπραγματεύονται με μονοψήφιο p/e τα κέρδη του πρώτου εξαμήνου!
Δηλαδή ακόμα και αν βγάλουν μηδενικό αποτέλεσμα στο δεύτερο εξάμηνο πάλι θα πρέπει να θεωρείται ελκυστική η αποτίμησή τους.
Από την άλλη θα πρέπει να σημειωθεί πως υπάρχουν έκτακτα κέρδη μέσα στα αποτελέσματα που δημιουργούν μία καλύτερη εικόνα.

Για παράδειγμα τα κέρδη ύψους 224,5 εκατ. ευρώ της Lamda Dev. αφορούν κέρδη από την ενοποίηση για πρώτη φορά της Ελληνικό στον ισολογισμό του ομίλου.
Αυτά δείχνουν από τη μία την αξία του project αλλά από την άλλη δεν μπορούμε να θεωρήσουμε το p/e χαμηλό καθώς αν αφαιρεθούν τα έκτακτα η αποτίμηση είναι διαφορετική.
Οι μεταλλουργικές όπως έχει γραφτεί αρκετές φορές εμφάνισαν εξαιρετική κερδοφορία, αλλά πολλές εισηγμένες δεν αναφέρουν πόσα ήταν τα κέρδη από την αποτίμηση των αποθεμάτων και πόσα τα κέρδη από την αύξηση των πωλήσεων και συνολικά από τη δραστηριότητα.
Όμως πολλές αποτιμήσεις βελτιώθηκαν στο ΧΑ τους τελευταίους μήνες, καθώς τα προηγούμενα χρόνια εμφάνιζαν ζημιές και οι τιμές των μετοχών είχαν υποχωρήσει σε πολύ ελκυστικά επίπεδα.

Η ΣΙΔΜΑ για παράδειγμα από την αρχή του έτους έχει άνοδο 250% και παρά την άνοδο τα κέρδη του εξαμήνου δίνουν p/e κάτω από 2 φορές.
Η αναδιάρθρωση των δανείων, έφερε σημαντικά έκτακτα και βελτίωσε τον ισολογισμό.
Επιπλέον πήγε εξαιρετικά και το εξάμηνο με αποτέλεσμα η μετοχή να βγει από την επιτήρηση που ήταν για πολλά χρόνια.
Η Αφοί Κορδέλλου είχε κέρδη 3,4 εκατ. ευρώ και παίζει τα κέρδη αυτά 3,5 φορές.
Παράλληλα διαπραγματεύεται και χαμηλότερα των ιδίων κεφαλαίων.

Η Μπήτρος που έχει συμμετοχή στη ΣΙΔΜΑ είχε κέρδη λόγω της συμμετοχής αυτής και παίζει τα κέρδη αυτά 4,5 φορές.
Η Τζιρακιάν επίσης εμφάνισε εξαιρετικά κέρδη που αντιστοιχούν σε p/e 5 φορές.
Η Ξυλεμπορία είχε δώσει εκτίμηση για καλή πορεία το 2021 και το εξάμηνο την επιβεβαίωσε δημοσιεύοντας κέρδη 1,78 εκατ. ευρώ που αντιστοιχούν σε p/e 6x.
Με 6x p/e διαπραγματεύονται τα Πλαστικά Θράκης και με 7 φορές η Interlife.
Η Medicon είχε εξαιρετική κερδοφορία και στις τελευταίες συνεδριάσεις είχε σημαντική άνοδο.
Παρά την άνοδο έχει p/e 8 με βάση μόνο τα κέρδη εξαμήνου.

Η ΕΛΒΑΛΧΑΛΚΟΡ έχει επίσης μονοψήφιο αν εξετάσουμε τη συνολική κερδοφορία που έχει και έκτακτα από την πώληση μετοχών της Cenergy και την αποτίμηση των αποθεμάτων.
Η αποτίμηση των αποθεμάτων βελτίωσε τα κέρδη των ΕΛΠΕ και Motor Oil και η ανάκαμψη του τουρισμού αναμένεται να δώσει ένα ακόμα καλό τρίμηνο, ήτοι το τρίτο.
Αλουμύλ και Lavipharm παίζουν 9 φορές περίπου τα κέρδη του εξαμήνου.
Η Minerva έβγαλε μετά από χρόνια καλά μεγέθη και αντιστοιχούν και αυτά σε χαμηλό p/e.
Μάλιστα αν συνεχιστεί η ίδια πορεία στο δεύτερο εξάμηνο θα είναι ακόμα καλύτερη η σχέση.

Υποψηφιότητα για μονοψήφιο p/e στο σύνολο της χρήσης βάζουν οι μετοχές των Viohalco, Καραμολέγκος, Έλτον, Δομική Κρήτης, Revoil, ΕΛΒΕ Ενδυμάτων, ΕΚΤΕΡ, Flexopack και Πλαστικά Κρήτης.
Θα πρέπει να σημειωθεί πως υπάρχουν εταιρείες με αρνητικό καθαρό δανεισμό, ο οποίος αν αφαιρεθεί κάνει ακόμα πιο ελκυστική τη σχέση αποτίμησης προς κέρδη, όπως Καρέλιας, Πλαστικά Κρήτης, Centric…
Επίσης θα υπάρξουν πολλές με p/e μεταξύ 10-15 φορών το οποίο ανάλογα με το growth δε μπορεί να θεωρηθεί απαιτητικό.

meroxew.JPG

Γιώργος Κατικάς
george.katikas@gmail.com
www.bankingnews.gr

Ρoή Ειδήσεων

Σχόλια αναγνωστών

Δείτε επίσης