Τελευταία Νέα
Χρηματιστήριο

Όλα τα αποτελέσματα πρώτου εξαμήνου των εισηγμένων - Ισχυρή ανάκαμψη της κερδοφορίας

Όλα τα αποτελέσματα πρώτου εξαμήνου των εισηγμένων - Ισχυρή ανάκαμψη της κερδοφορίας
Ξεπέρασαν τα EBITDA αλλά και τα καθαρά κέρδη όχι μόνο τις χαμηλές επιδόσεις του περσινού εξαμήνου αλλά και του αντίστοιχου του 2019 αν εξαιρεθεί η Τρ. Πειραιώς
Σχετικά Άρθρα

Η χαμηλή βάση του περσινού εξαμήνου, όπου λόγω της πανδημίας, ο τζίρος των επιχειρήσεων κατέρρευσε, αλλά και η υψηλή ζήτηση φέτος, έκανε τη διαφορά στα αποτελέσματα των εισηγμένων εταιρειών για το πρώτο εξάμηνο του 2021.
Μάλιστα, πολλές διοικήσεις εταιρειών είναι αισιόδοξες για τη συνέχεια, χωρίς βέβαια να απουσιάζουν και οι πιο επιφυλακτικές διοικήσεις, οι οποίες τονίζουν τα υψηλά μεταφορικά κόστη και τη μεγάλη άνοδο των τιμών των πρώτων υλών και της ενέργειας.
Αξίζει επίσης να σημειωθεί πως τα κέρδη του πρώτου εξαμήνου 2021 των εταιρειών μη χρηματοοικονομικού κλάδου, ξεπέρασαν τα αντίστοιχα του 2019 και σε επίπεδο λειτουργικών κερδών και σε επίπεδο τελικής γραμμής.
Η συνολική εικόνα των αποτελεσμάτων των εισηγμένων εταιρειών χαλάει αν προσμετρηθούν τα εξάμηνα των τραπεζών και πιο συγκεκριμένα η Τράπεζα Πειραιώς η οποία εμφάνισε έκτακτη ζημία σχεδόν 2,5 δισ. ευρώ.
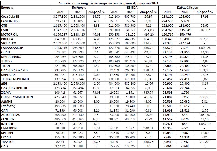
Χωρίς τις τράπεζες η κερδοφορία των 140 εισηγμένων που είχαν ανακοινώσει μέχρι χθες το βράδυ εμφανίζει αύξηση τζίρο 19% και αύξηση EBITDA 67%.
Ο τζίρος ξεπέρασε τα 30,3 δισ. ευρώ σε σύγκριση με τα 25,5 δισ. ευρώ του 2020, ενώ τα EBITDA ανήλθαν στα 4,4 δισ. ευρώ έναντι 2,65 δισ. ευρώ το 2020 και 3,86 δισ. ευρώ το 2019.
Τα καθαρά κέρδη ανήλθαν στα 1,77 δισ. ευρώ από ζημία 92 εκατ. ευρώ, ενώ το 2019 τα καθαρά κέρδη στα 800 εκατ. ευρώ.
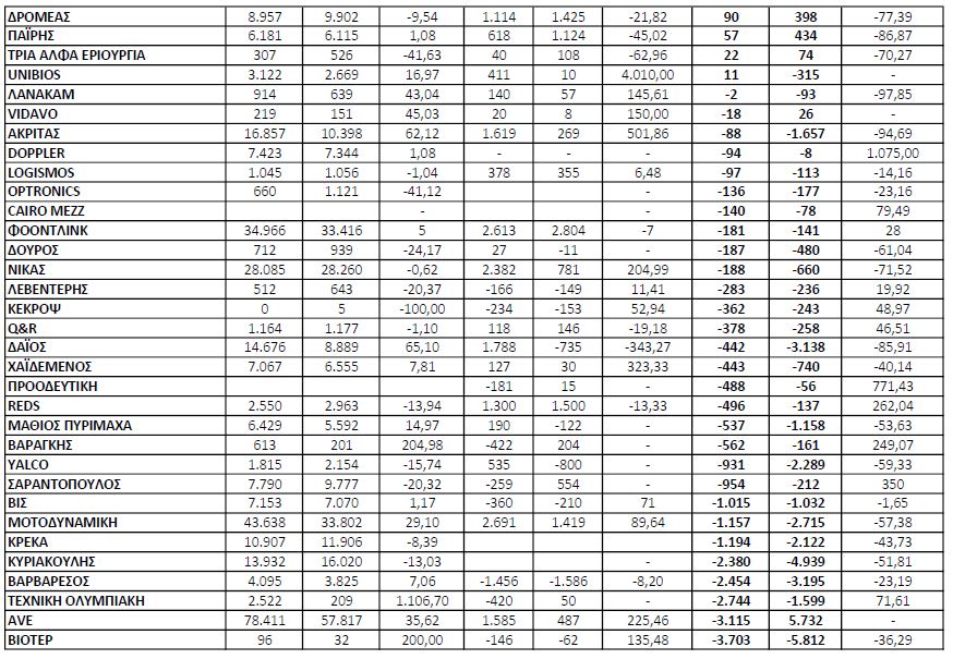
Από τις 140 εισηγμένες κέρδη εμφάνισαν οι 100 και από αυτές οι 32 κατάφεραν να γυρίσουν σε κέρδη από ζημίες.
Ζημιές εμφάνισαν 40 εταιρείες αλλά οι 22 κατάφεραν να τις μειώσουν.
Μαζί με τις τράπεζες οι 145 εισηγμένες έχουν 185 εκατ. ευρώ από ζημιά 951 εκατ. ευρώ.

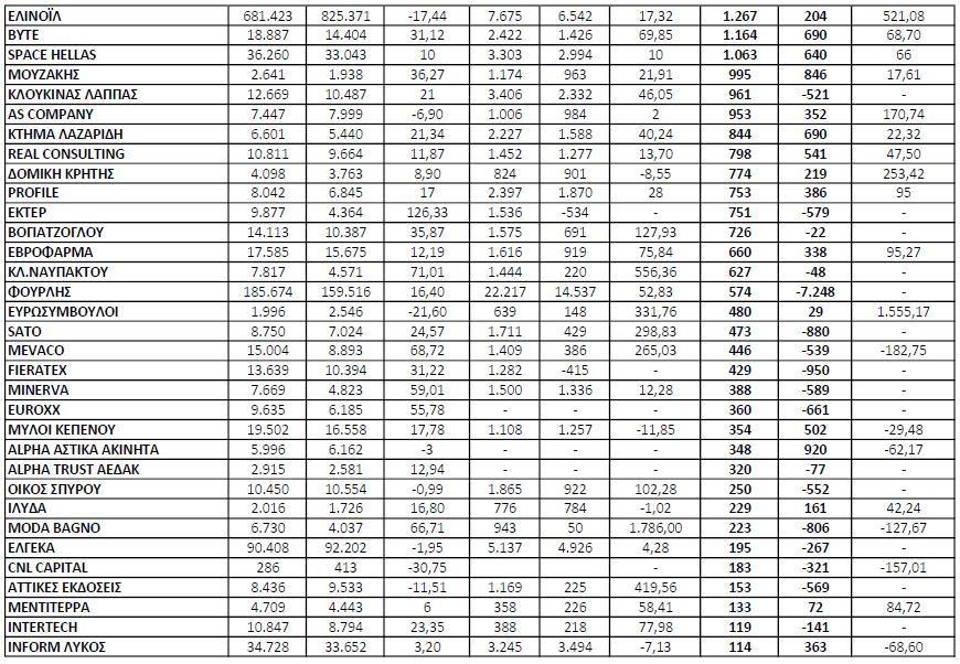
Οι καλύτεροι του πρώτου εξαμήνου

Ο κλάδος διύλισης κατάφερε και λόγω των καλύτερων τιμών του πετρελαίου, να γυρίσει σε κέρδη και να πάρει πίσω ένα μεγάλο μέρος των ζημιών της περσινής περιόδου, από την αποτίμηση των αποθεμάτων.
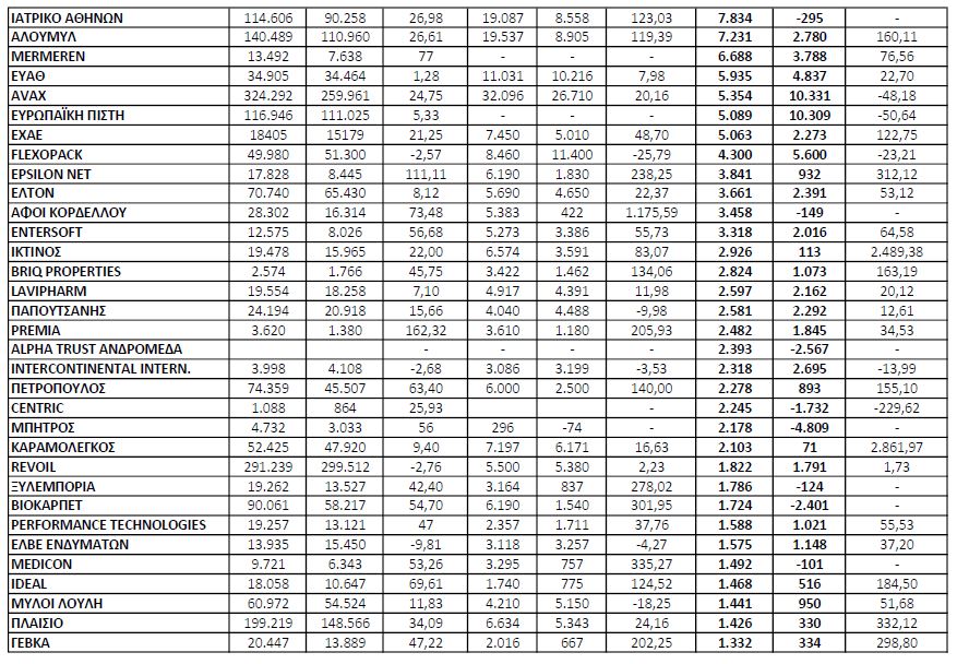
Ο κλάδος των μετάλλων είναι ο μεγάλος κερδισμένος, αφού το ράλι των τιμών οδήγησε σε βελτιωμένα κέρδη, ενώ και η ζήτηση ήταν πολύ ισχυρή στο πρώτο εξάμηνο.
Οι περισσότερες διοικήσεις αναφέρουν πως η ζήτηση παρέμεινε ισχυρό στο τρίτο τρίμηνο και κάποιες σημειώνουν πως περιμένουν υποχώρηση στο τέταρτο.
Εξαιρετικό το εξάμηνο για ΕΛΒΑΛΧΑΛΚΟΡ, Έλαστρον, Κορδέλλου, ΣΙΔΜΑ κ.α.
Μικτή είναι η εικόνα του κατασκευαστικού κλάδου και ξεχώρισε από τις μεγάλες η Avax μαζί με τις μικρές του κλάδου.
Αξίζει να τονιστεί πως υπάρχουν εισηγμένες της μικρομεσαίας κεφαλαιοποίησης οι οποίες ακόμα και βγάλουν μηδενικά κέρδη στο δεύτερο εξάμηνο θα διαπραγματεύονται τα κέρδη του 2021 με μονοψήφιο P/E.
Απογοήτευσε η Intrakat.
Η Πλαστικά Θράκης είχε κορυφαία αποτελέσματα και εκτός από την εκπληκτική αύξηση των κερδών είναι πλέον με αρνητικό καθαρό δανεισμό.
Θετικό μήνυμα στέλνουν και οι κλωστοϋφαντουργικές εταιρείες, ενώ καλά ήταν και τα κέρδη του κλάδου της ένδυσης.
Ο κλάδος της πληροφορικής συνέχισε να πρωταγωνιστεί και η πλειονότητα των εταιρειών εμφάνισε βελτιωμένες πωλήσεις και κέρδη και μάλιστα με υψηλό growth.
Ξεχωρίζουν επίσης τα κέρδη των Quest, Καρέλια, Αλουμύλ, Mermeren κ.α.

Η εικόνα των τραπεζών

Η εξυγίανση του ισολογισμού της Τράπεζας Πειραιώς έφερε ζημιές 2,45 δισ. ευρώ, αλλάζοντας όλη την εικόνα των αποτελεσμάτων των εταιρειών.
Οι υπόλοιπες συστημικές εμφάνισαν καλή κερδοφορία και ικανοποίησαν τους αναλυτές.

Αυξήσεις πρώτων υλών

Οι αυξήσεις των πρώτων υλών αποτυπώθηκαν στις λογιστικές καταστάσεις με κάποιες εταιρείες να ευνοούνται (μεταλλουργικές), κάποιες να επηρεάζονται και να μην μπορούν να μετακυλίσουν το αυξημένο κόστος στον καταναλωτή (αλευροβιομηχανίες) και κάποιες να εμφανίζουν μικτές τάσεις.
Συγκεκριμένα, ορισμένες κατασκευαστικές αναφέρουν πως μετακυλίουν το αυξημένο κόστος των μετάλλων και άλλες ότι επηρεάστηκε η τελική γραμμή αρνητικά.

Έκτακτα κέρδη

Η «είσοδος» του Ελληνικού στη λογιστική κατάσταση της Lamda, έδωσε μεγάλα έκτακτα κέρδη βελτιώνοντας την εικόνα συνολικά των κερδών των εταιρειών.
Έκτακτα κέρδη είχαν και οι εταιρείες ακινήτων με σημαντικότερα αυτά της Prodea.
Έκτακτα κέρδη αποκόμισαν και εισηγμένες με ρευστότητα, επενδύοντας μέρος αυτής σε ομόλογα και αμοιβαία κεφάλαια.
Χαρακτηριστικά παραδείγματα η AS Company και η Centric.

Καμπανάκι

Αρνητικά μηνύματα στέλνουν δύο λογιστικές καταστάσεις καθώς οι ζημιές που έχουν δημοσιεύσει ικανοποιούν το κριτήριο για είσοδο στην κατηγορία της επιτήρησης (ζημιές πάνω από το 30% των ιδίων κεφαλαίων).
Αυτό σημαίνει πως αν δεν διορθωθεί η εικόνα στο δεύτερο εξάμηνο, στη δημοσίευση της χρήσης 2021 θα μπορούσαν να τεθούν στην κατηγορία της επιτήρησης, εκτός αν ανακοινώσουν αύξηση κεφαλαίου.
Από την άλλη, δύο εισηγμένες βελτίωσαν τα ίδια κεφάλαια και δικαιούνται αίτηση εξόδου.
Η μία (ΣΙΔΜΑ) βγήκε ήδη και διαπραγματεύεται κανονικά, ενώ για τη δεύτερη (Ευρωσύμβουλοι) αναμένεται να αποφασίσει το ΧΑ.
1φσφσ.JPG
2_114.JPG
3φ_1.JPG
4_67.JPG
5_44.JPG
Γιώργος Κατικάς
george.katikas@gmail.com
www.bankingnews.gr

Ρoή Ειδήσεων

Σχόλια αναγνωστών

Δείτε επίσης