Τελευταία Νέα
Χρηματιστήριο

Ενθουσιάζουν τα αποτελέσματα πρώτου εξαμήνου – Προεξοφλημένα ή τα αγνοεί η αγορά;

Ενθουσιάζουν τα αποτελέσματα πρώτου εξαμήνου – Προεξοφλημένα ή τα αγνοεί η αγορά;
Tα αποτελέσματα των εισηγμένων δείχνουν πως είναι εξαιρετικά με πολλές όχι μόνο να έχουν κέρδη πάνω από το πρώτο εξάμηνο του 2020, αλλά να έχουν ξεπεράσει και τις αντίστοιχες επιδόσεις του 2019
Σχετικά Άρθρα

Προβληματισμός υπάρχει μεταξύ των στελεχών της αγοράς για την πορεία του ΧΑ το τελευταίο διάστημα.
Ενώ οι ειδήσεις είναι εξαιρετικά θετικές (ΑΕΠ, αναβαθμίσεις οίκων, πακέτο μέτρων, τουρισμός κ.α.) οι επενδυτές δείχνουν επιφυλακτικοί στο να αυξήσουν το ρίσκο και να αγοράσουν μετοχές.
Την ίδια ώρα τα αποτελέσματα των εισηγμένων για το πρώτο εξάμηνο του 2021 δείχνουν πως είναι εξαιρετικά με πολλές όχι μόνο να έχουν κέρδη πάνω από το πρώτο εξάμηνο του 2020 και μάλιστα σημαντική, αλλά να έχουν ξεπεράσει και τις αντίστοιχες επιδόσεις του 2019, όπως τονίζουν αρκετοί αναλυτές.
Όμως στο ταμπλό η συσσώρευση του γενικού δείκτη διατηρείται και οι επιλεκτικές τοποθετήσεις είναι αυτές που κρατάνε την αγορά και την ελπίδα για ανοδική διαφυγή και προσέγγιση των 950 και 1.000 μονάδων.
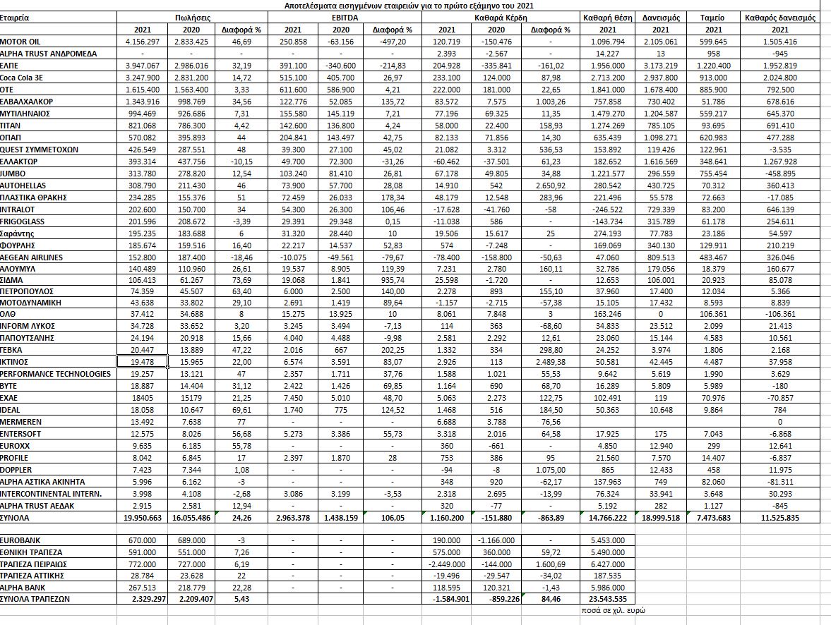
Οι 40 εισηγμένες, εκτός τραπεζικού κλάδου, που έχουν δημοσιεύσει δείχνουν πως ο τζίρος στο πρώτο εξάμηνο του 2021 έχει ενισχυθεί κατά 24,3% διαμορφούμενος στα 19,95 δισ. ευρώ από 16,05 δισ. ευρώ που ήταν ο αντίστοιχος του 2020.
Τα EBITDA (κέρδη προ φόρων τόκων και αποσβέσεων) έχουν υπερδιπλασιαστεί και διαμορφώνονται στα 2,96 δισ. ευρώ από 1,43 δισ. ευρώ, ενώ η τελική γραμμή έχει κέρδη 1,16 δισ. ευρώ από ζημία 152 εκατ. ευρώ το 2020.

Ισχυρή ζήτηση

Μάλιστα οι διοικήσεις των περισσότερων εταιρειών έχουν στείλει αισιόδοξο μήνυμα για την πορεία του δευτέρου εξαμήνου, καθώς η ζήτηση παραμένει ισχυρή και η πορεία του τουρισμού θα αποτυπωθεί στο τρίτο τρίμηνο, βελτιώνοντας περαιτέρω την κερδοφορία.
Οι υψηλές τιμές των πρώτων υλών, των ναύλων, αλλά και της ενέργειας, δείχνουν στην παρούσα φάση πως δεν επηρεάζουν την κερδοφορία και πως περνάνε στον καταναλωτή.
Ωστόσο, υπάρχει μία ανησυχία για το πόσο μπορεί αυτό να διατηρηθεί και τι θα γίνει με τις πληθωριστικές πιέσεις.
Κάποια στελέχη της αγοράς ανησυχούν περισσότερο, σημειώνοντας πως αν διατηρηθούν οι υψηλές τιμές θα μπορούσε να επηρεαστεί η ανάπτυξη.
Οι μεταλλουργικές ξεχωρίζουν λόγω της ζήτησης και τις τιμές των πρώτων υλών, όπως και των επιχειρήσεων αλουμινίου.
Οι εταιρείες διύλισης τα πήγαν πολύ καλά, σβήνοντας μέρος των περσινών ζημιών, λόγω και της ανόδου των τιμών του πετρελαίου, αλλά και λόγω της βελτίωσης των περιθωρίων διύλισης.

Πληροφορική, Πλαστικά Θράκης, Jumbo και ΟΠΑΠ

Καλή εικόνα και από τις εταιρείες του ευρύτερου κλάδου της πληροφορικής με το growth των κερδών σε πολλές περιπτώσεις να μεγαλώνει και να καταγράφουν ιστορικά υψηλή κερδοφορία.
Εντυπωσιακά χαρακτηρίζονται τα αποτελέσματα της Πλαστικά Θράκης, η Jumbo ξεπέρασε τις εκτιμήσεις των αναλυτών, ο ΟΠΑΠ έστειλε αισιόδοξο μήνυμα για το μέρισμα, η Intralot περιμένει EBITDA 100 εκατ. ευρώ και βελτίωση των ιδίων κεφαλαίων με παράλληλη μείωση του δανεισμού, λόγω της αναδιάρθρωσης των ομολόγων, ενώ καλή κερδοφορία είχαν οι εταιρείες μαρμάρου.

Τράπεζες

Στις τράπεζες τώρα και αν προσμετρηθεί η τελική γραμμή στο σύνολο των εταιρειών, οι υψηλές ζημιές της Πειραιώς σε δημοσιευμένη βάση χαλάει την εικόνα και γυρίζει το τελικό αποτέλεσμα σε ζημιές 420 εκατ. ευρώ περίπου, αλλά και πάλι είναι καλύτερο το αποτέλεσμα από το πρώτο εξάμηνο του 2020 όπου οι ζημιές ήταν πάνω από 1 δισ. ευρώ.
Βελτιωμένα είναι τα καθαρά έσοδα από τόκους των τραπεζών κατά 5,43%, ενώ τα ίδια κεφάλαια ανέρχονται στα 23,5 δισ. ευρώ.
Οι εταιρείες του μη χρηματοοικονομικού κλάδου που έχουν δημοσιεύσει εξάμηνο έχουν ίδια κεφάλαια 14,76 δισ. ευρώ, συνολικές τραπεζικές υποχρεώσεις (μαζί με τις μισθώσεις) 19 δισ. ευρώ, ταμειακά διαθέσιμα και ισοδύναμα 7,4 δισ. ευρώ και καθαρό δανεισμό (δάνεια μείον ταμείο) 11,5 δισ. ευρώ.

pinakas_7.JPG
Γιώργος Κατικάς
george.katikas@gmail.com
www.bankingnews.gr

Ρoή Ειδήσεων

Σχόλια αναγνωστών

Δείτε επίσης