Τελευταία Νέα
Κοινωνία

Μικρή πτώση στην πορεία του κορωνοϊού με 19.705 νέα κρούσματα, 46 νεκρούς, 349 διασωληνωμένους

Μικρή πτώση στην πορεία του κορωνοϊού με 19.705 νέα κρούσματα, 46 νεκρούς, 349 διασωληνωμένους
Η ανακοίνωση του ΕΟΔΥ για την ημερήσια εξέλιξη της πορείας της πανδημίας
Σχετικά Άρθρα

Μικρή πτώση παρουσιάζει η πορεία του κορωνοϊού το τελευταίο 24ωρο, με 19.705 νέα κρούσματα, 46 νεκρούς, 349 διασωληνωμένους.
Αναλυτικότερα:
Ο ΕΟΔΥ ανακοίνωσε 19.705 νέα εργαστηριακά επιβεβαιωμένα κρούσματα σήμερα Σάββατο 19 Μαρτίου, εκ των οποίων κρουσμάτων 19 εντοπίστηκαν κατόπιν ελέγχων στις πύλες εισόδου της χώρας.
Ο συνολικός αριθμός των κρουσμάτων ανέρχεται σε 2.776.192 (ημερήσια μεταβολή +0.7%), εκ των οποίων 49.3% άνδρες.
Με βάση τα επιβεβαιωμένα κρούσματα των τελευταίων 7 ημερών, 189 θεωρούνται σχετιζόμενα με ταξίδι από το εξωτερικό και 1.818 είναι σχετιζόμενα με ήδη γνωστό κρούσμα.
Ημερήσια εξέλιξη της πανδημίας: Η ημερήσια κατανομή των επιβεβαιωμένων κρουσμάτων είναι η
ακόλουθη (η γραμμή παριστάνει την συνολική, αθροιστική κατανομή των κρουσμάτων).
1_297.JPG
Οι νέοι θάνατοι ασθενών με COVID-19 είναι 46, ενώ από την έναρξη της επιδημίας έχουν καταγραφεί συνολικά 26.893 θάνατοι.
Το 95.2% είχε υποκείμενο νόσημα ή/και ηλικία 70 ετών και άνω.
2_255.JPG

Η διαχρονική εξέλιξη των συνολικών κρουσμάτων και συνολικού αριθμού των θανάτων ασθενών COVID-19 παρουσιάζεται στο ακόλουθο διάγραμμα.
3_183.JPG
Ο αριθμός των ασθενών που νοσηλεύονται διασωληνωμένοι είναι 349 (62.8% άνδρες).
Η διάμεση ηλικία τους είναι 69 έτη.
To 90.8% έχει υποκείμενο νόσημα ή/και ηλικία 70 ετών και άνω.
Μεταξύ των ασθενών που νοσηλεύονται διασωληνωμένοι, 224 (64.18%) είναι ανεμβολίαστοι ή μερικώς εμβολιασμένοι και 125 (35.82%) είναι πλήρως εμβολιασμένοι.
Από την αρχή της πανδημίας έχουν εξέλθει από τις ΜΕΘ 4.389 ασθενείς.
Οι εισαγωγές νέων ασθενών Covid-19 στα νοσοκομεία της επικράτειας είναι 372 (ημερήσια μεταβολή +3.62%).
Ο μέσος όρος εισαγωγών του επταημέρου είναι 321 ασθενείς.
Η διάμεση ηλικία των κρουσμάτων είναι 35 έτη (εύρος 0.2 έως 112 έτη), ενώ η διάμεση ηλικία των θανόντων είναι 79 έτη (εύρος 0.2 έως 106 έτη).
Ακολούθως παρουσιάζεται η ηλικιακή κατανομή των (α) συνολικών κρουσμάτων, (β) των περιστατικών που κατέληξαν σε θάνατο και (γ) των ασθενών που νοσηλεύονται διασωληνωμένοι:
4_147.JPG
Κατανομή ανακοινωθέντων εγχώριων κρουσμάτων: Από το σύνολο των 19.705 νέων κρουσμάτων του νέου ιού στη χώρα 22 είναι εισαγόμενα εκ των οποίων 19 εντοπίστηκαν κατόπιν ελέγχων στις πύλες εισόδου της χώρας.
Η κατανομή των 19.683 νέων εγχώριων κρουσμάτων ανά Περιφερειακή Ενότητα παρουσιάζεται στον κατωτέρω πίνακα.2
Πίνακας 3: Ημερήσιος αριθμός και κρούσματα ανά 100.000 πληθυσμού επιβεβαιωμένων εγχώριων κρουσμάτων COVID-19 ανά περιφερειακή ενότητα στις 19 Μαρτίου 2022
5_109.JPG
Δείγματα που έχουν ελεγχθεί: Από την 1η Ιανουαρίου 2020 μέχρι σήμερα, στα εργαστήρια που διενεργούν ελέγχους για τον νέο κορωνοϊό (SARS-CoV-2) και που δηλώνουν συστηματικά το σύνολο των δειγμάτων που ελέγχουν, έχουν συνολικά ελεγχθεί 10.329.799 κλινικά δείγματα ενώ από Μονάδες Υγείας και Κλιμάκια του ΕΟΔΥ που διενεργούν ελέγχους Rapid Ag έχουν ελεγχθεί 60.641.250 δείγματα. O μέσος όρος του επταημέρου είναι 281.870 δειγματοληπτικοί έλεγχοι.
Αυτοδιαγνωστικοί έλεγχοι (Self-tests): Έως 18 Μαρτίου 2022, έχουν καταγραφεί ηλεκτρονικά 96.824.671 δηλώσεις αποτελέσματος αυτοδιαγνωστικού ελέγχου, ενώ 5.878.005 άτομα προσήλθαν για επανέλεγχο.
Mαζικές Δειγματοληψίες ΕΟΔΥ: Στις 18 Μαρτίου 2022, πραγματοποιήθηκαν 157 δράσεις δειγματοληπτικών ελέγχων από τις Κινητές Ομάδες Υγείας (ΚΟΜΥ) του ΕΟΔΥ, στις οποίες διενεργήθηκαν 29.210 έλεγχοι Rapid Ag και ανευρέθηκαν 3.695 θετικά (12,65%).
6_96.JPG
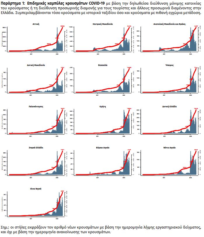
Γεωγραφική διασπορά: Ο χάρτης αποτυπώνει τη γεωγραφική κατανομή των κρουσμάτων COVID-19 των τελευταίων 14 ημερών ανά Περιφερειακή Ενότητα της χώρας, με βάση την δηλωθείσα διεύθυνση μόνιμης κατοικίας του ασθενούς, ή τη διεύθυνση προσωρινής διαμονής για τους τουρίστες και άλλους προσωρινά διαμένοντες στην Ελλάδα.
Συμπεριλαμβάνονται τόσο κρούσματα με ιστορικό ταξιδίου (“εισαγόμενα”) όσο και κρούσματα με πιθανή εγχώρια μετάδοση.
7_71.JPG

8_53.JPG
www.bankingnews.gr

Ρoή Ειδήσεων

Σχόλια αναγνωστών

Δείτε επίσης