Τελευταία Νέα
Κοινωνία

Υποχωρούν οι σκληροί επιδημιολογικοί δείκτες, συνολικά στους 25.327 οι νεκροί – Προς νέα άρση μέτρων

Υποχωρούν οι σκληροί επιδημιολογικοί δείκτες, συνολικά στους 25.327 οι νεκροί – Προς νέα άρση μέτρων
Η μείωση του αριθμού των διασωληνωμένων στους 471 δίνει ανάσα και στο πιεζόμενο σύστημα υγείας ενώ την Κυριακή (20/2/2022) οι νεκροί ήταν λιγότεροι από 70
Σχετικά Άρθρα

Υποχωρούν οι σκληροί επιδημιολογικοί δείκτες και η βελτιωμένη εικόνα της πανδημίας, φέρνει την σταδιακή άρση των μέτρων, κάτι που θα συνεχιστεί και τις επόμενες εβδομάδες, ενώ δείχνουν πως πλέον μπορούμε να συνυπάρξουμε με τον ιό.
Η μείωση του αριθμού των διασωληνωμένων στους 471 δίνει ανάσα και στο πιεζόμενο σύστημα υγείας ενώ την Κυριακή (20/2/2022) οι νεκροί ήταν λιγότεροι από 70.
Ήδη, από το Σάββατο (19/2/2022) τέθηκε σε ισχύ η άρση μίας ακόμη δέσμης περιοριστικών μέτρων που αφορούν αποκλειστικά στις δραστηριότητες πλήρως εμβολιασμένων πολιτών, αν και παραμένει υποχρεωτική η χρήση διπλής μάσκας ή μάσκας υψηλής προστασίας σε σούπερ μάρκετ και μέσα μαζικής μεταφοράς, αλλά και σε κλειστούς και εξωτερικούς χώρους.
Κυβέρνηση και ειδικοί υποστηρίζουν ότι αυτή η διαδικασία χαλάρωσης και άρσης των περιορισμών θα συνεχιστούν και τις επόμενες εβδομάδες, καθώς στόχος είναι στα τέλη Μαρτίου να έχουν αρθεί όλα τα μέτρα.

Βασιλακόπουλος: Θα κάνουμε καλό Πάσχα - Λάθος μήνυμα ότι τελειώσαμε με τον κορωνοϊό

«Θα κάνουμε καλό Πάσχα. Έχουμε πάνω από ένα εκατ. μολύνσεις από την αρχή του χρόνου και το ποσοστό εμβολιαστικής κάλυψης που είμαστε κάπου στο μέσο της Ευρώπης.
Αν συνεχίσουμε έτσι, και με 15.000 – 20.000 κρούσματα τη μέρα, μέχρι το Πάσχα θα έχουμε μεγάλα ποσοστά ανοσίας», ανέφερε ο καθηγητής Πνευμονολογίας, Εντατικής θεραπείας, Θ. Βασιλακόπουλος.
Ωστόσο, ο ίδιος σημείωσε πως είναι «λάθος μήνυμα ότι τελειώσαμε με τον κορωνοϊό», αλλά και πως επί της ουσίας τα μέτρα είχαν αρθεί στην πράξη νωρίτερα.
«Είναι λάθος μήνυμα ότι τελειώσαμε με τον κορωνοϊό. Θα πρέπει να συνηθίσουμε να ζούμε με τον κορωνοϊό.
Η πολύ μεγαλύτερη μεταδοτικότητα που έχει αυτό το στέλεχος έχει δείξει ότι τα γενικευμένα lockdown είναι πολύ λιγότερο αποτελεσματικά. Πριν αρθούν τα μέτρα, ουσιαστικά είχαν αρθεί στην πράξη.
Υπήρχε νυχτερινή διασκέδαση και μαγαζιά στα οποία οι άνθρωποι ήταν όρθιοι. Τώρα απλά θα γίνεται και επίσημα», τόνισε ο κ. Βασιλακόπουλος μιλώντας στο MEGA.
Σύμφωνα με τον κ. Βασιλακόπουλο, «θα πρέπει να μας γίνει συνήθεια όταν είμαστε με πολλούς άλλους να φοράμε μάσκα. Για τα γήπεδα το ότι αυξήθηκε στο 50% η χωρητικότητα μου κάνει εντύπωση. Επηρεάζει ένα ή δύο ματς το χρόνο. Στον προηγούμενο κανόνα που έλεγε ότι μπαίνουν μόνο εμβολιασμένοι, τότε η χωρητικότητα θα μπορούσε να πάει στο 100%. Αλλά δεν τηρείται πάντα ο νόμος και μπαίνουν και άνθρωποι ανεμβολίαστοι. Οπότε ένα μέτρο έχει μικρότερη αποτελεσματικότητα από ό,τι θα είχε αν εφαρμοζόταν σωστά».

Γαλιατσάτος: Αν υπάρξει νέα παραλλαγή θα έρθει από χώρες που δεν έχουν εμβολιαστεί – Προστατευμένοι με τρία εμβόλια


«Πρέπει να πάνε τα εμβόλια σε όλα τα κράτη, αν υπάρξει νέα παραλλαγή θα έρθει από χώρες που δεν έχουν εμβολιαστεί», τόνισε ο καθηγητής Πνευμονολογίας στο Johns Hopkins, Παναγής Γαλιατσάτος.
«Υπάρχουν υποθέσεις που μιλούν για νέες μεταλλάξεις. Εγώ έχω εμπιστοσύνη στον κόσμο. Τα εμβόλια βοηθούν πολύ. Αν ο κόσμος μας βοηθήσει να τελειώσουμε την πανδημία, δε θα έχουμε τέτοιο φόβο, για νέα παραλλαγή», είπε ο κ. Γαλιατσάτος μιλώντας στο MEGA.
Υπογράμμισε ότι «τα κρούσματα πέφτουν, και το ζητούμενο είναι να μείνουν χαμηλά. Πρέπει να κάνει ο καθένας μας ό,τι χρειάζεται για να κρατήσουμε τους δείκτες κάτω και να φύγει η πανδημία».
Σημείωσε δε, πως «για να πέσουν τα κρούσματα τα μέτρα πρέπει να αρθούν σιγά – σιγά. Πιστεύω ότι η Δανία πήγε πολύ γρήγορα στην άρση τους, για αυτό τώρα ανεβαίνουν πάλι τα κρούσματα».
«Πιστεύω ότι μπορούμε να έχουμε ένα καλό Πάσχα, αλλά πρέπει να γίνονται τεστ», πρόσθεσε ο κ. Γαλιατσάτος.

Ψαλτοπούλου: Τελευταία η κατάργηση της μάσκας - Συγκρατημένη αισιοδοξία για την πανδημία

Συγκρατημένη αισιοδοξία υπάρχει στη χώρα μας λόγω της αργής, αλλά σταθερής αποκλιμάκωσης στην επιδημιολογική πορεία του κύματος Omicron της πανδημίας COVID-19, ενώ οι επόμενες 2-3 εβδομάδες είναι ιδιαίτερα σημαντικές, δηλώνει η καθηγήτρια Επιδημιολογίας και Προληπτικής Ιατρικής, στην Ιατρική Σχολή ΕΚΠΑ, Ντόρα Ψαλτοπούλου.
Το επιδημικό κύμα του στελέχους Omicron φεύγει και η επίπτωση πλέον του κορωνοϊού θα είναι πολύ μικρότερη στην υγεία μας, είτε λόγω προηγούμενης λοίμωξης από αυτόν, είτε λόγω των δισεκατομμυρίων εμβολιασμών ή συνδυασμού λοίμωξης και εμβολιασμού, παράλληλα με τη χρήση των αντιιικών φαρμάκων και άλλων εξειδικευμένων σκευασμάτων, αναφέρει στο ΑΠΕ-ΜΠΕ η κα Ψαλτοπούλου, επικαλούμενη άρθρο στο επιστημονικό περιοδικό Lancet που τιτλοφορείται: Η Covid -19 θα συνεχίσει να υπάρχει, αλλά η πανδημία φτάνει στο τέλος της.
Όπως σημειώνει, «φαίνεται ότι στο άμεσο μέλλον, οι ευάλωτοι πληθυσμοί θα προστατεύονται με μάσκες υψηλής τεχνολογίας σε συνδυασμό και την κοινωνική αποστασιοποίηση, αν απαιτείται».

Η πανδημία στην Ελλάδα

Η κα Ψαλτοπούλου τονίζει πως υπάρχει συγκρατημένη αισιοδοξία στη χώρα μας, λόγω της αργής, αλλά σταθερής αποκλιμάκωσης στην επιδημιολογική πορεία του κύματος Omicron της πανδημίας COVID-19.
Η ίδια, περιγράφοντας την σημερινή επιδημιολογική εικόνα, σημειώνει πως το ιικό φορτίο του SARS-CoV-2 στα αστικά λύματα, τα νέα κρούσματα της covid-19 και οι διασωληνωμένοι έχουν ελαφρά πτωτική πορεία, οι εισαγωγές στα νοσοκομεία μειώνονται, ενώ οι θάνατοι παραμένουν σε υψηλές διψήφιες τιμές.
«Όπως συμβαίνει και με άλλες χώρες που προηγούνται στα επιδημικό κύμα της Omicron, οι επόμενες 2-3 εβδομάδες είναι ιδιαίτερα σημαντικές. Καθώς θα αρχίσουν να αίρονται σταδιακά τα περιοριστικά μέτρα για την πρόληψη της μετάδοσης του SARS-CoV-2, μιλάμε για μια δυναμική διαδικασία συνεχούς επιδημιολογικής επιτήρησης και αξιολόγησης. Σε περίπτωση νέας έξαρσης κρουσμάτων και νοσηλειών μπορεί να καθυστερήσει η περαιτέρω άρση των μέτρων», υπογραμμίζει.
Προσθέτει ότι «παρόλο που η διενέργεια προληπτικού ελέγχου με self και rapid test θα περιοριστεί σταδιακά μόνο για τους ανεμβολίαστους και για συγκεκριμένες ιατρικές πράξεις, η χρήση μάσκας προσώπου θα είναι από τα τελευταία μέτρα που θα αρθούν, ενώ μπορεί να παραμείνουν για μεγαλύτερο χρονικό διάστημα σε εσωτερικούς χώρους με συνωστισμό και σε δομές φροντίδας υγείας».

Νέα μέτρα χαλάρωσης με φόντο τη σταθερή αποκλιμάκωση της πανδημίας – Τι ισχύει από 19/2

Σε ισχύ από το Σάββατο 19/2, η άρση των περιοριστικών μέτρων που αφορούν αποκλειστικά στις δραστηριότητες πλήρως εμβολιασμένων πολιτών, ενώ για τους ανεμβολίαστους ισχύουν οι προηγούμενες απαγορεύσεις.
Παραμένει υποχρεωτική η χρήση διπλής μάσκας ή μάσκας υψηλής προστασίας σε σούπερ μάρκετ και μέσα μαζικής μεταφοράς, αλλά και σε κλειστούς και εξωτερικούς χώρους.
Σε ό,τι αφορά τα νέα μέτρα χαλάρωσης, επιστρέφουν οι όρθιοι πελάτες στη διασκέδαση – θα επιτρέπονται μόνο οι πλήρως εμβολιασμένοι στους κλειστούς χώρους -, ενώ αυξάνεται η πληρότητα στα γήπεδα στο 50%, επιστρέφουν οι σχολικές εκδρομές και μειώνεται περαιτέρω το ποσοστό τηλεργασίας στο δημόσιο και στον ιδιωτικό τομέα στο 20%.

ΕΟΔΥ: 9.596 κρούσματα και 67 θάνατοι στις 20/2

Ο ΕΟΔΥ ανακοίνωσε την Κυριακή (20/2/2022) 9.596 νέα εργαστηριακά επιβεβαιωμένα κρούσματα της νόσου που καταγράφηκαν τις τελευταίες 24 ώρες είναι 9.596 , εκ των οποίων 43 εντοπίστηκαν κατόπιν ελέγχων στις πύλες εισόδου της χώρας.
Ο συνολικός αριθμός των κρουσμάτων ανέρχεται σε 2.298.926 (ημερήσια μεταβολή +0.4%), εκ των οποίων 49.6% άνδρες.
Με βάση τα επιβεβαιωμένα κρούσματα των τελευταίων 7 ημερών, 283 θεωρούνται σχετιζόμενα με ταξίδι από το εξωτερικό και 2.105 είναι σχετιζόμενα με ήδη γνωστό κρούσμα.
Οι νέοι θάνατοι ασθενών με Covid είναι 67, ενώ από την έναρξη της επιδημίας έχουν καταγραφεί συνολικά 25.327 νεκροί.
Το 95% είχε υποκείμενο νόσημα ή/και ηλικία 70 ετών και άνω.
1_258.JPG
2_227.JPG
Στους 471 οι διασωληνωμένοι

Ο αριθμός των ασθενών που νοσηλεύονται διασωληνωμένοι είναι 471 (63.7% άνδρες). Η διάμεση ηλικία τους είναι 67 έτη.
To 87.3% έχει υποκείμενο νόσημα ή/και ηλικία 70 ετών και άνω.
Μεταξύ των ασθενών που νοσηλεύονται διασωληνωμένοι, 346 (73.46%) είναι ανεμβολίαστοι ή μερικώς εμβολιασμένοι και 125 (26.54%) είναι πλήρως εμβολιασμένοι.
3_168.JPG
Από την αρχή της πανδημίας έχουν εξέλθει από τις ΜΕΘ 4.209 ασθενείς.
Οι εισαγωγές νέων ασθενών Covid-19 στα νοσοκομεία της επικράτειας είναι 329 (ημερήσια μεταβολή -8.86%).
Ο μέσος όρος εισαγωγών του επταημέρου είναι 369 ασθενείς.
4_135.JPG
Η διάμεση ηλικία των κρουσμάτων είναι 35 έτη (εύρος 0.2 έως 106 έτη), ενώ η διάμεση ηλικία των θανόντων
είναι 79 έτη (εύρος 0.2 έως 106 έτη).
6_87.JPG5_98.JPG

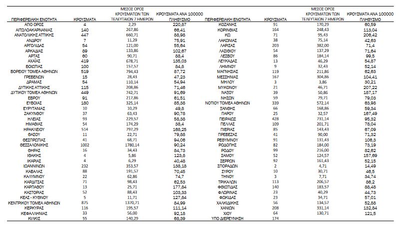
ΕΟΔΥ: 3.231 κρούσματα στην Αττική, 1.002 στη Θεσσαλονίκη

Από τα συνολικά 9.596 κρούσματα, τα 3.231 εντοπίστηκαν στην Αττική και τα 1.002 στη Θεσσαλονίκη.

Ειδικότερα, στην Αττική τα κρούσματα κατανέμονται ως εξής:

• Ανατολική Αττική            447
• Βόρειος Τομέας Αθήνας 519
• Δυτική Αττική                  115
• Δυτικός Τομέας Αθήνας 449
• Κεντρ. Τομέας Αθήνας   875
• Νήσων                             59
• Νότιος Τομέας Αθήνας   339
• Πειραιάς                        428
Τα κρούσματα σε ολόκληρη την Ελλάδα:
krousmata_greece_6.JPG


8_46.JPG7_63.JPG

www.bankingnews.gr

Ρoή Ειδήσεων

Σχόλια αναγνωστών

Δείτε επίσης