Τελευταία Νέα
Διεθνή

Μελέτη πετάει τις μάσκες: Ούτε οι Ν95 δεν προστατεύουν από μόλυνση και δεν αποτρέπουν την μετάδοση Covid

Μελέτη πετάει τις μάσκες: Ούτε οι Ν95 δεν προστατεύουν από μόλυνση και δεν αποτρέπουν την μετάδοση Covid

Ο μύθος της μάσκας προστασίας αποδεικνύεται... παραμύθι, σύμφωνα με νέα μελέτη που φέρνει το Brownstone Institute

Σχετικά Άρθρα

 Το όλο αφήγημα της προστασίας έναντι του κορωνοϊού SARS-COV2 στηρίχθηκε στην αποστασιοποίση, τους περιορισμούς, τα lockdowns και στην υποχρεωτική χρήση μασκών, κυρίως αυτό το σκληρό μέτρο, η προστασία από την οποία σύμφωνα με νέα μελέτη αποδεικνύεται... μύθος και καταρρίπτεται, γεγονός που ισχύει όχι μόνο για την απλή μάσκα, αλλά και για την ενισχυμένη Ν95, όπως δημοσιεύει το Brownstone Institute.
Υπάρχει μια νέα έρευνα που κυκλοφόρησε που δείχνει ότι οι μάσκες είναι αναποτελεσματικές, ανεξαρτήτως τύπου.
Και δεν είναι απλώς νέα έρευνα, είναι έρευνα υψηλής ποιότητας.

Άλλη μια RCT για τη χρήση μάσκας

Τα Annals of Internal Medicine μόλις δημοσίευσαν μια τυχαιοποιημένη ελεγχόμενη μελέτη που συγκρίνει την ικανότητα των ιατρικών μασκών να αποτρέπουν τη μόλυνση από τον COVID με τις δοκιμασμένες N95.
Είναι σημαντικό ότι αυτή η δοκιμή διεξήχθη σε εργαζόμενους στον τομέα της υγειονομικής περίθαλψης που ήταν πιο πιθανό να χρησιμοποιήσουν σωστά τις μάσκες, για να προσδιοριστεί εάν οι ιατρικές μάσκες δεν είναι κατώτερες από τις μάσκες N95 για την πρόληψη του COVID-19 σε εργαζόμενους στον τομέα της υγείας που παρέχουν φροντίδα ρουτίνας.
Αυτός ο δοκιμαστικός σχεδιασμός ήταν επίσης σημαντικός, καθώς είχε σκοπό να καθορίσει εάν οι αναπνευστήρες N95 ήταν ανώτεροι ή όχι από τις «κανονικές» χειρουργικές μάσκες.

Εξέτασαν 29 διαφορετικές εγκαταστάσεις υγειονομικής περίθαλψης σε πολλές ηπείρους, από τη Βόρεια Αμερική έως την Ασία και την Αφρική.

Το ποσοστό των εργαζομένων στον τομέα της υγείας που βρέθηκαν θετικοί στον COVID σε κάθε ομάδα παρακολουθήθηκε για να προσδιοριστεί πόσο αποτελεσματική ή αναποτελεσματική ήταν η κάλυψη υψηλότερης ποιότητας στην πρόληψη της μόλυνσης.
Δεν αποτελεί έκπληξη, τα αποτελέσματα επιβεβαίωσαν ότι υπάρχει ουσιαστικά μηδενική διαφορά μεταξύ των χειρουργικών αναπνευστήρων ή των αναπνευστήρων N95 όταν πρόκειται για αποτελέσματα δοκιμών.
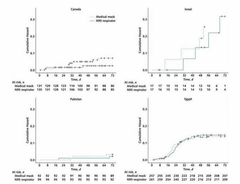
Στην ανάλυση πρόθεσης για θεραπεία, ο COVID-19 επιβεβαιωμένος με RT-PCR εμφανίστηκε σε:

52 από τους 497 (10,46%) συμμετέχοντες στην ομάδα ιατρικής μάσκας έναντι 47 από τους 507 (9,27%) στην ομάδα μάσκας N95 (αναλογία κινδύνου [HR ], 1,14 [95% CI, 0,77 έως 1,69]).

Μια απρογραμμάτιστη ανάλυση υποομάδας ανά χώρα διαπίστωσε ότι στην ομάδα ιατρικής μάσκας έναντι της ομάδας αναπνευστικών μασκών N95 επιβεβαιωμένος με RT-PCR COVID-19 εμφανίστηκε σε,

8 από 131 (6,11%) έναντι 3 από 135 (2,22%) στον Καναδά (HR, 2,83 [CI, 0,75 έως 10,72]),

6 από 17 (35,29%) έναντι 4 από 17 (23,53%) στο Ισραήλ (HR, 1,54 [CI, 0,43 έως 5,49]),

3 από 92 (3,26%) έναντι 2 από 94 ( 2,13%) στο Πακιστάν (HR, 1,50 [CI, 0,25 έως 8,98]) και

35 από 257 (13,62%) έναντι 38 από 261 (14,56%) στην Αίγυπτο (HR, 0,95 [CI, 0,60 έως 1,50]).

Υπήρχαν 47 (10,8%) ανεπιθύμητες ενέργειες που σχετίζονται με την παρέμβαση που αναφέρθηκαν στην ομάδα ιατρικής μάσκας και 59 (13,6%) στην ομάδα των αναπνευστήρων N95.

52 από τους 497 συμμετέχοντες που φορούσαν ιατρικές μάσκες προσβλήθηκαν από COVID-19 και 47 από τους 507 στην ομάδα N95 προσβλήθηκαν από COVID-19.

Ανεξάρτητα από το πόσο «υψηλής ποιότητας» είναι η μάσκα σας, αποδεικνύεται... «άχρηστη».

Οι ερευνητές έκαναν επίσης κόπο για να εξασφαλίσουν ότι οι ομάδες ελέγχου και θεραπείας μοιράζονταν όσο το δυνατόν περισσότερες ομοιότητες.
Αποκλείστηκαν εργαζόμενοι που δεν μπορούσαν να περάσουν ένα τεστ φυσικής κατάστασης, είχαν εργαστηριακά επιβεβαιωμένο COVID-19 ή «είχαν λάβει 1 ή περισσότερες δόσεις εμβολίου COVID-19 με αποτελεσματικότητα μεγαλύτερη από 50% για το κυκλοφορούν στέλεχος».
Ωστόσο, τίποτα από αυτά δεν είχε σημασία.

Δεν υπήρχε διαφορά στα αποτελέσματα μεταξύ της ιατρικής και της μάσκας επιπέδου N95.

 Οι N95 που χρησιμοποιούνται ήταν ακόμη και ειδικά ελεγμένοι και εγκεκριμένοι αναπνευστήρες μακριά από τα KN95 που χρησιμοποιούνται συνήθως από το ευρύ κοινό.
«Οι εργαζόμενοι στον τομέα της υγειονομικής περίθαλψης που μπήκαν τυχαία στην ομάδα αναπνευστήρων N95, έλαβαν οδηγίες να χρησιμοποιούν έναν εγκεκριμένο από το Εθνικό Ινστιτούτο για την Ασφάλεια και την Υγεία στην Εργασία αναπνευστήρα N95 όταν παρέχουν τακτική φροντίδα σε ασθενείς με COVID-19 ή ύποπτο για COVID-19».
Απεδείχθη πως δεν είχε σημασία.

Ακόμη πιο σημαντικό, αυτά τα απογοητευτικά αποτελέσματα προήλθαν από εγκαταστάσεις με καθολικές πολιτικές κάλυψης.

Όλοι, σε κάθε μονάδα υγειονομικής περίθαλψης, «για όλες τις δραστηριότητες», έπρεπε να φορούν μάσκες.
Η παρέμβαση περιελάμβανε καθολική κάλυψη, η οποία ήταν η πολιτική που εφαρμόστηκε σε κάθε τοποθεσία.
Αυτό αναφέρεται στη χρήση μάσκας όταν βρίσκεστε σε εγκαταστάσεις υγειονομικής περίθαλψης για όλες τις δραστηριότητες, είτε σχετίζονται με ασθενείς είτε όχι, συμπεριλαμβανομένων των αιθουσών εργασίας, των συναντήσεων και της θεραπείας ατόμων που δεν ήταν ύποπτα ή γνωστό ότι είναι θετικά στον COVID-19.
Ούτε αυτό εμπόδισε την μετάδοση
Παρακολούθησαν ακόμη και πιθανά σημεία έκθεσης, είτε στο σπίτι, στην κοινότητα ή σε εκθέσεις στο νοσοκομείο.
Δεν υπήρχε καμία διαφορά.
Αυτό που είναι ακόμα πιο εντυπωσιακό σχετικά με τη ματαιότητα της κάλυψης είναι ότι εκτός της Αιγύπτου, τα αποτελέσματα που παρατηρήθηκαν εμφανίστηκαν πριν εμφανιστεί η πιο μεταδοτική παραλλαγή Omicron.

Υπήρχαν ουσιαστικές διαφορές στα αποτελέσματα μεταξύ των χωρών, γεγονός που δείχνει ότι η προστασία των N95 θα μπορούσε να είχε αποδειχθεί ακόμη μικρότερη, εάν κάλυπτε την περίοδο Omicron.
01_43.JPG
Ο Καναδάς, ο οποίος μελετήθηκε πριν από την Omicron, έδειξε το μεγαλύτερο «όφελος» στη N95, ενώ η Αίγυπτος μετά την Omicron ήταν σχεδόν πανομοιότυπη.
Είναι πιθανό ότι η ήπια διαφορά στον Καναδά θα μπορούσε να είχε διαγραφεί εντελώς αν υποβαλλόταν στην εποχή της Omicron.

Εκτός από το ότι ήταν λειτουργικά άχρηστες, οι N95 ήταν πολύ πιο πιθανό να έχουν αρνητικές επιπτώσεις.

Σύμφωνα με τη σελίδα αποτελεσμάτων, αναφέρθηκαν σημαντικά περισσότερα προβλήματα στην ομάδα αναπνευστικών συσκευών
«Υπήρξαν 47 (10,8%) ανεπιθύμητες ενέργειες που σχετίζονται με την παρέμβαση που αναφέρθηκαν στην ομάδα ιατρικής μάσκας και 59 (13,6%) στην ομάδα των αναπνευστικών N95».
Αυτό γίνεται ακόμη πιο αξιοσημείωτο αφού η συμμόρφωση με την κάλυψη της αναπνευστικής συσκευής ήταν χαμηλότερη
"Η συμμόρφωση με την αντιστοιχισμένη ιατρική μάσκα ή αναπνευστήρα N95 αναφέρθηκε ως "πάντα" στο 91,2% στην ομάδα ιατρικής μάσκας έναντι 80,7% στην ομάδα αναπνευστήρα N95 και ως "πάντα" ή "μερικές φορές" στο 97,7% στην ιατρική μάσκα ομάδα έναντι 94,4% στην ομάδα αναπνευστικών N95.
Οι εργαζόμενοι στον τομέα της υγειονομικής περίθαλψης «πάντα» φορούσαν N95 το 80,7% του χρόνου αντί για το 91,2% για τις ιατρικές μάσκες.
Αυτό είναι ένα από τα πολλά ζητήματα που πρέπει να αντιμετωπίσουν οι «ειδικοί» που πιέζουν τώρα για (την διαψευσθείσα πια) «υψηλότερης ποιότητας» κάλυψη.

Οι επαγγελματίες υγείας που έχουν εκπαιδευτεί στη χρήση των N95 δεν μπορούν πάντα να τους χρησιμοποιούν, ωστόσο αντιμετωπίζουν υψηλότερα ποσοστά ανεπιθύμητων ενεργειών.

Φανταστείτε πόσο χειρότερη θα ήταν η συμμόρφωση στο ευρύ κοινό, ειδικά εάν το 13% υποφέρει από σημαντικές παρενέργειες.
Τα αποτελέσματα δείχνουν ανικανότητα των «ειδικών»
Αυτή είναι μια ακόμη τυχαιοποιημένη ελεγχόμενη δοκιμή για να δείξει ότι οι μάσκες δεν λειτουργούν.
Επιβεβαιώνει επίσης τη μελέτη DANMASK που διεξήχθη νωρίς στην πανδημία, η οποία απέδειξε ότι δεν υπήρχε κανένα όφελος από την κάλυψη στην πρόληψη του COVID.
Ακόμη και η μελέτη του Μπαγκλαντές, που συγκρίνει χωριά, έδειξε ότι δεν υπήρχε κανένα όφελος από την κάλυψη σε πληθυσμιακό επίπεδο.
Χρησιμοποίησαν στατιστικά εσφαλμένη κατεύθυνση και σκόπιμα p-hacking για να προσπαθήσουν να δημιουργήσουν ένα θετικό αποτέλεσμα, και παρόλα αυτά μπόρεσαν να φτάσουν μόνο σε μείωση ~ 10% για τα άτομα άνω των 50 ετών.

Ανεξάρτητα από την ποιότητα, ανεξάρτητα από τη συμμόρφωση, οι μάσκες είναι εντελώς αναποτελεσματικές στην πρόληψη της μετάδοσης ή της μόλυνσης.

Έχουμε επίσης τώρα πολλαπλές τυχαιοποιημένες ελεγχόμενες δοκιμές που επιβεβαιώνουν ότι οι μάσκες δεν εμποδίζουν την εξάπλωση του COVID.
Και έχουμε εξαιρετικά καλές συγκρίσεις που το επιβεβαιώνουν.
Το μόνο που έχουν πλέον οι φανατικοί των μασκών είναι ευσεβείς πόθοι με πολιτικά κίνητρα, απελπισμένη υπεράσπιση από διαψευσμένες «μελέτες» του CDC και μια δέσμευση  στη συστηματική αποφυγή της πραγματικότητας με κίνητρα που πρέπει να προβληματίζουν.
02_25.JPG

www.bankingnews.gr

Ρoή Ειδήσεων

Σχόλια αναγνωστών

Δείτε επίσης