Τελευταία Νέα
Κοινωνία

Μεγάλη η διασπορά του Covid στην Ελλάδα, λόγω μετάλλαξης Delta – Ανησυχία των ειδικών για τον χειμώνα - Στους 13.058 οι νεκροί

Μεγάλη η διασπορά του Covid στην Ελλάδα, λόγω μετάλλαξης Delta –  Ανησυχία των ειδικών για τον χειμώνα - Στους 13.058 οι νεκροί

Δύσκολο χειμώνα λόγω μετάλλαξης Delta αναμένουν οι ειδικοί – Αυξάνεται η πίεση στο σύστημα υγείας

Σχετικά Άρθρα

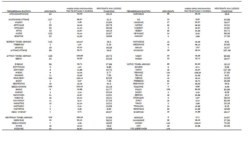
Η μετάλλαξη Delta έχει διασπείρει τον Covid = 19 σε όλα τα γεωγραφικά διαμερίσματα της χώρας και ενώ οι ειδικοί προειδοποιούν, πως τα χειρότερα θα πρέπει να αναμένονται μετά το φθινόπωρο.
Οι ειδικοί εκτιμούν ότι η κρίσιμη περίοδος θα είναι οι εβδομάδες μετά τον 15Αύγουστο, όταν και θα φανούν οι συνέπειες από την αυξημένη κινητικότητα και τις συναθροίσεις των πολιτών.
Μάλιστα αναφέρουν πως από τον Σεπτέμβριο, όταν και θα επανεκκινήσει το σύνολο των οικονομικών και κοινωνικών δραστηριοτήτων, θα φανεί όχι μόνο το μέγεθος αλλά και το πώς θα εξελιχθεί η επιδημία.
Πάντως, τα μηνύματα κάθε άλλο παρά θετικά μπορούν να χαρακτηριστούν ενώ ανησυχία προκαλεί το γεγονός, πως αυξάνεται ο αριθμός των διασωληνωμένων έστω και με αργούς ρυθμούς.
Εν τω μεταξύ Ζάκυνθος και Χανιά τελούν υπό περιοριστικά μέτρα ανάλογα με αυτά που είχαν επιβληθεί στη Μύκονο – απαγόρευση κυκλοφορίας από τη 01:00 έως τις 06:00 και απαγόρευση μουσικής όλο το 24ωρο ενώ αυξάνεται και ο αριθμός των νοσηλευομένων, οι οποίοι πλέον αγγίζουν τους 1.600.

Δεν θα γίνουν εμβολιασμοί στις πληγείσες από τις πυρκαγιές περιοχές – Επαναπρογραμματισμός ραντεβού των πολιτών

Δεν θα πραγματοποιηθούν εμβολιασμοί στα τοπικά εμβολιαστικά κέντρα των περιοχών που πλήττονται από τις πυρκαγιές.
Όπως διευκρινίζεται από το υπουργείο Υγείας, στις περιοχές που υπάρχουν εν εξελίξει πυρκαγιές δεν θα πραγματοποιηθούν εμβολιασμοί κατά της covid-19 στα τοπικά εμβολιαστικά κέντρα.
Οι πολίτες, όταν το επιτρέψουν οι συνθήκες, θα μπορούν να επαναπρογραμματίσουν τα ραντεβού τους.

Μαγιορκίνης: Να ετοιμαζόμαστε για δύσκολο χειμώνα

Σταθερός παρέμεινε την τελευταία εβδομάδα ο συνολικός αριθμός των διαγνώσεων για λοίμωξη covid-19 στην επικράτεια, η πίεση στο σύστημα υγείας εξακολουθεί να δείχνει σημεία αύξησης, ενώ ο αριθμός των πολιτών που καταλήγουν με την νόσο αυξήθηκε κατά 93%, σε περίπου 12 ανά ημέρα, ανέφερε κατά την ενημέρωση για την πορεία της πανδημίας, ο επίκουρος καθηγητής επιδημιολογίας και μέλος της επιτροπής εμπειρογνωμόνων, Γκίκας Μαγιορκίνης.
Συγκεκριμένα, ο αριθμός των ατόμων σε παρακολούθηση στις Μονάδες Εντατικής Θεραπείας εντός της τελευταίας εβδομάδας, αυξήθηκε κατά 35%.
Ο αριθμός των νέων εισαγωγών με Covid-19 παραμένει υψηλότερος από 150, αλλά δείχνει σημεία σταθεροποίησης, καθώς και το ισοζύγιο εισιτηρίων/εξιτηρίων παραμένει μεγαλύτερο από 1, αν και η ψαλίδα εισιτηρίων/εξιτηρίων δείχνει σημεία μείωσης.

Έκκληση για εμβολιασμό

«Το τέταρτο κύμα όπως δείχνουν οι αναλύσεις των ηλικιών, ξεκίνησε από νέους και σχετίσθηκε κυρίως με νυχτερινή διασκέδαση.
Το υπάρχον εμβολιαστικό τείχος λειτούργησε πολύ καλά στο να επιβραδύνει την επιδημία και εξακολουθεί να την επιβραδύνει», ανέφερε ο κ. Μαγιορκίνης.
Εξήγησε ότι ο αριθμός των εισαγωγών στα νοσοκομεία είναι αρκετά μικρότερος από αυτόν που θα βλέπαμε στα προηγούμενα κύματα σε σχέση με τον αριθμό των διαγνωσμένων κρουσμάτων που βλέπουμε τον τελευταίο μήνα. Υπογράμμισε ότι "τα εμβόλια έχουν μειώσει την ταχύτητα επέκτασης της επιδημίας στον πληθυσμό.
Δεν υπάρχει καμία αμφιβολία ότι έχουν μειώσει δραματική την βαρύτητα της νόσου, στους λίγους σχετικά εμβολιασμένους που θα τύχει να μολυνθούν».
Ωστόσο, όπως είπε, είναι προφανές ότι η επιδημία από τους νέους, σταδιακά επεκτάθηκε σε άτομα μεγαλύτερης ηλικίας που δεν έχουν εμβολιασθεί ακόμα.
Και αυτή είναι η κύρια πηγή των εισαγωγών στα νοσοκομεία, σε ποσοστό που ξεπερνάει το 90%.
«Αν και οι μη εμβολιασμένοι αποτελούν πια τη μειοψηφία του πληθυσμού στις μεγάλες ηλικίες, αυτό το λιγότερο από 30% των μεγαλύτερων συμπολιτών μας που δεν έχουν εμβολιαστεί, αποτελεί την πηγή, περισσότερο από 90%, των ατόμων που καταλήγουν στο νοσοκομείο και της συντριπτικής πλειοψηφίας που καταλήγουν.
Είναι ξεκάθαρο ότι οι μη εμβολιασμένοι συμπολίτες μας είναι αυτοί που έχουν και την μεγαλύτερη πιθανότητα να καταλήξουν σε διασωλήνωση και επίσης θα μείνουν για μεγαλύτερο χρονικό διάστημα στα νοσοκομεία».
Ο κ. Μαγιορκίνης είπε ότι "το εμβόλιο δεν σε κάνει άτρωτο, το ξέραμε.
Κανένα εμβόλιο δεν σε κάνει άτρωτο.
Αλλά αν είσαι 70 ετών και κάνεις το εμβόλιο κερδίζεις 20 χρόνια.
Ένας 70άρης εμβολιασμένος που θα έρθει σε επαφή με τον ιό έχει την ίδια πιθανότητα να νοσήσει βαριά με έναν 50άρη που δεν έχει εμβολιαστεί.
Υπάρχει σημαντικότερος λόγος για να εμβολιαστεί κάποιος, είτε είναι 70άρης, είτε 50άρης;».
Ξεκαθάρισε ότι ο ιός θα είναι μαζί μας για αρκετά χρόνια και πρέπει να ετοιμαζόμαστε για έναν δύσκολο χειμώνα.
Κάλεσε όσους δεν έχουν εμβολιαστεί, να το πράξουν άμεσα για να προστατεύσουν τον εαυτό τους και τους αγαπημένους τους, καθώς όπως είπε, «όλοι μας αργά ή γρήγορα θα έρθουμε σε επαφή με τον ιό - και τον ερχόμενο χειμώνα αυτή η πιθανότητα θα είναι υψηλή.
Το εμβόλιο μειώνει δραματικά την πιθανότητά μας αυτή η συνάντηση να είναι μοιραία».

ΕΟΔΥ: 2.768 νέα κρούσματα και 10 θάνατοι στις 7/8

Ο ΕΟΔΥ ανακοίνωσε το Σάββατο (7/8/2021), 2.768 νέα κρούσματα Covid , εκ των οποίων 7 εντοπίστηκαν κατόπιν ελέγχων στις πύλες εισόδου της χώρας.
Ο συνολικός αριθμός των κρουσμάτων ανέρχεται σε 512.342 (ημερήσια μεταβολή +0.5%), εκ των οποίων 51.2% άνδρες.
Με βάση τα επιβεβαιωμένα κρούσματα των τελευταίων 7 ημερών, 129 θεωρούνται σχετιζόμενα με ταξίδι από το εξωτερικό και 2.185 είναι σχετιζόμενα με ήδη γνωστό κρούσμα.
Oι θάνατοι ασθενών είναι 10, ενώ από την έναρξη της επιδημίας έχουν καταγραφεί συνολικά 13.058 νεκροί.
Το 95.2% είχε υποκείμενο νόσημα ή/και ηλικία 70 ετών και άνω.


krousmata_16.JPG
thanatoi_7.JPG
Στους 198 οι διασωληνωμένοι

Ο αριθμός των ασθενών που νοσηλεύονται διασωληνωμένοι είναι 198 (61.1% άνδρες).
Η διάμεση ηλικία τους είναι 64 έτη.
To 82.8% έχει υποκείμενο νόσημα ή/και ηλικία 70 ετών και άνω.
Από την αρχή της πανδημίας έχουν εξέλθει από τις ΜΕΘ 2.838 ασθενείς.
Οι εισαγωγές νέων ασθενών Covid-19 στα νοσοκομεία της επικράτειας είναι 209 (ημερήσια μεταβολή +0.97%).
Ο μέσος όρος εισαγωγών του επταημέρου είναι 184 ασθενείς.
Η διάμεση ηλικία των κρουσμάτων είναι 40 έτη (εύρος 0.2 έως 106 έτη), ενώ η διάμεση ηλικία των θανόντων είναι 78 έτη (εύρος 0.2 έως 106 έτη).
deigmata_23.JPGdiaspora_28.JPGkrosysmata_c.JPG
www.bankingnews.gr

 

Ρoή Ειδήσεων

Σχόλια αναγνωστών

Δείτε επίσης