Τελευταία Νέα
Επιχειρήσεις

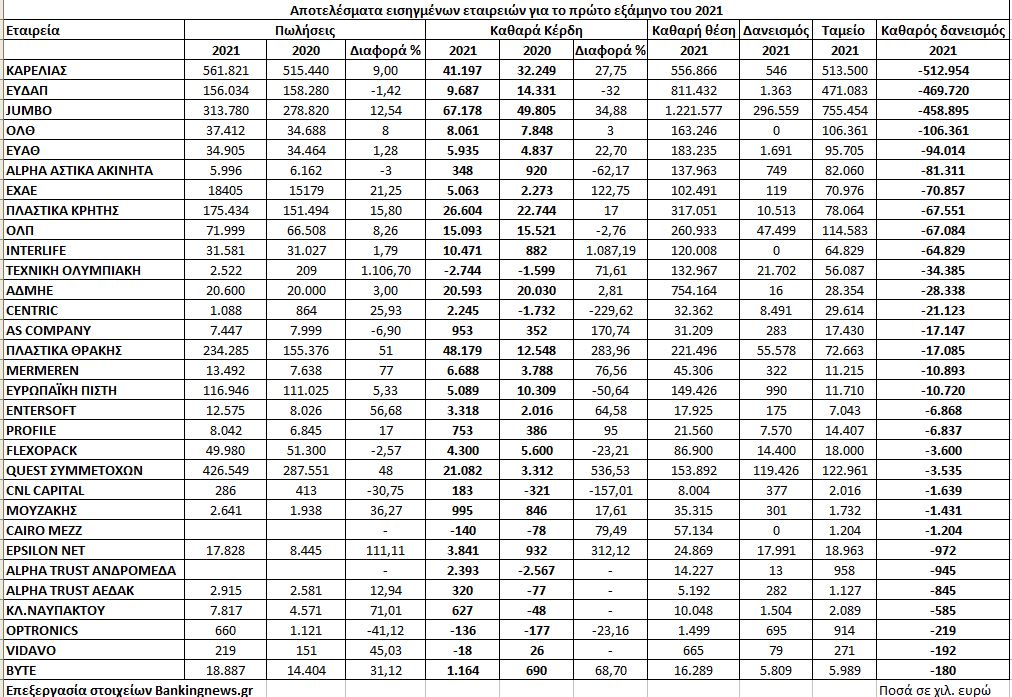
Αυτές οι εισηγμένες έχουν ταμείο έως το 72% της αποτίμησης - Οι κερδοφόρες και αυτές με χαμηλό P/BV

Αυτές οι εισηγμένες έχουν ταμείο έως το 72% της αποτίμησης - Οι κερδοφόρες και αυτές με χαμηλό P/BV

Πάσχουν κάποιες από εμπορευσιμότητα ή και από όραμα και «κουβαλάνε» επί σειρά ετών τα ταμειακά διαθέσιμα, χωρίς να έχουν την απόδοση που θα ήθελαν οι επενδυτές

Περί τις 30 εταιρείες περιλαμβάνει η λίστα με τις εισηγμένες που όχι μόνο καλύπτουν ή δε γνωρίζουν τι είναι τραπεζικός δανεισμός, αλλά έχουν τόσα μετρητά στα ταμεία τους που αντιστοιχούν ακόμα και στο 82% της συνολικής τους κεφαλαιοποίησης.

Έχουν ταμειακά διαθέσιμα και ισοδύναμα που θα ζήλευαν εταιρείες διαχείρισης κεφαλαίων ή που θα ήθελαν εταιρείες με αναπτυξιακό πρόγραμμα προκειμένου να κάνουν εξαγορές.
Εκτός από τα παραπάνω αρκετές έχουν πολύ καλή κερδοφορία που θα μπορούσε να δώσει ακόμα και μονοψήφιο p/e για το σύνολο της τρέχουσας χρήσης, ενώ κάποιες έχουν πολύ χαμηλό p/bv, ήτοι η αποτίμηση είναι σημαντικά χαμηλότερη από το ύψος των ιδίων κεφαλαίων.
Πάσχουν όμως κάποιες από εμπορευσιμότητα ή και από όραμα και «κουβαλάνε» επί σειρά ετών τα ταμειακά διαθέσιμα, χωρίς να έχουν την απόδοση που θα ήθελαν οι επενδυτές.
Στην πρώτη θέση με τα υψηλότερα ταμειακά διαθέσιμα είναι η Καρέλιας με 513 εκατ. ευρώ περίπου και με κέρδη 41,1 εκατ. ευρώ στο εξάμηνο!
Στην αποτίμηση των 767 εκατ. ευρώ το ταμείο αντιστοιχεί στο 67% της αποτίμησης.
Η ΕΥΔΑΠ έχει ταμείο 469,7 εκατ. ευρώ και είχε καθαρά κέρδη 9,6 εκατ. ευρώ με την αποτίμηση στα 802 εκατ. ευρώ που δίνει p/bv οριακά κάτω από 1 φορά.
Ο καθαρός δανεισμός αντιστοιχεί στο 58% της αποτίμησης.
Παράλληλα η εταιρεία τρέχει σημαντικό επενδυτικό πρόγραμμα, ενώ η διοίκηση έχει δηλώσει πως θα προχωρήσει σε διανομή μετρητών στους μετόχους μόλις ολοκληρωθούν οι συναλλαγές που έχουν να κάνουν με τη συμφωνία με το δημόσιο και την τιμή του αδιύλιστου ύδατος.
Η Jumbo με καθαρά κέρδη 67,1 εκατ. ευρώ στο εξάμηνο έχει αρνητικό καθαρό δανεισμό 459 εκατ. ευρώ που αντιστοιχεί στο 24% της αποτίμησης.
Ο ΟΛΘ τρέχει και αυτός ένα σημαντικό επενδυτικό πρόγραμμα με τα καθαρά μετρητά στο πρώτο εξάμηνο να είναι στα 106,4 εκατ. ευρώ ή στο 40% της αποτίμησης.
Τα κέρδη στο εξάμηνο ανήλθαν στα 8 εκατ. ευρώ.
Στο 58% της αποτίμησης ανέρχονται τα μετρητά της ΕΥΑΘ ενώ τα κέρδη εξαμήνου ήταν στα 11 εκατ. ευρώ την ώρα που η αποτίμηση είναι στα 161 εκατ. ευρώ και ο δείκτης p/bv στις 0,88 φορές.
Η Alpha Αστικά Ακίνητα είδε τη μετοχή της να ενισχύεται το τελευταίο διάστημα λόγω των ανακοινώσεων της Alpha Bank για μετατροπή της εταιρείας σε πλατφόρμα ακινήτων με αναζήτηση επενδυτή.
Το ταμείο αντιστοιχεί στο 66% της αποτίμησης ενώ διαθέτει και σημαντικά ακίνητα.
Κάτω από τα ίδια κεφάλαια η αποτίμηση και μικρά κέρδη στο εξάμηνο.
Η ΕΧΑΕ έχει ταμείο που αντιστοιχεί στο 33% της αποτίμησης.
Η μετοχή έχει υποχωρήσει σημαντικά το τελευταίο διάστημα λόγω της εικόνας που παρουσιάζει το ΧΑ.
Τα κέρδη στο εξάμηνο πήγαν αρκετά καλύτερα από τις εκτιμήσεις.
Η Πλαστικά Κρήτης έχει υλοποιήσει σημαντικές επενδύσεις χωρίς να χρειαστεί να αυξήσει δανεισμό.
Το καθαρό ταμείο είναι στα 67,6 εκατ. ευρώ με τα κέρδη εξαμήνου να είναι στα 26,6 εκατ. ευρώ.
Αρνητικό καθαρό δανεισμό έχει και ο ΟΛΠ, η Intelife και η Τεχνική Ολυμπιακή.
Η Τεχνική Ολυμπιακή είχε ζημιές στο εξάμηνο, αλλά η απόδοση των επενδύσεων στα καράβια αναμένεται να φανεί στο δεύτερο εξάμηνο, όταν θα αρχίσει να εισπράττει μερίσματα.
Προς το παρόν έχει το 49% της αποτίμησης σε μετρητά και παίζει με p/bv 0,53 φορές.
Ο ΑΔΜΗΕ έχει καθαρό ταμείο 28,3 εκατ. ευρώ, η Centric 21,1 εκατ. ευρώ που αντιστοιχεί στο 72% της αποτίμησης, η AS Company έχει 17,1 εκατ. ευρώ ταμείο και 27 εκατ. ευρώ αποτίμηση.
Η Πλαστικά Θράκης παρά τις μεγάλες επενδύσεις γύρισε σε καθαρό ταμείο 17 εκατ. ευρώ, ενώ στα 11 εκατ. ευρώ περίπου είναι της Mermeren.
Entersoft, Profile και Epsilon net έχουν επίσης αρνητικό καθαρό δανεισμό.
Η Quest έχει αρνητικό καθαρό δανεισμό 3,5 εκατ. ευρώ αλλά πρόσφατα ανακοίνωσε και την πώληση της Cardlink από την οποία θα εισπράξει ένα μεγάλο ποσό και μάλιστα με υψηλά έκτακτα κέρδη.
Τέλος αρνητικό καθαρό δανεισμό έχουν η Flexopack και η Μουζάκης, με την πρώτη να μην ικανοποιεί με την κερδοφορίας της και να βλέπει τη μετοχή της να υποχωρεί σημαντικά και τη δεύτερη να έχει σημαντική ακίνητη περιουσία αλλά και μία υποχρέωση υψηλή προς τους βασικούς μετόχους.
pinakas_9.JPG


Γιώργος Κατικάς
george.katikas@gmail.com
www.bankingnews.gr

Ρoή Ειδήσεων

Σχόλια αναγνωστών

Δείτε επίσης